专利号:2018109066464
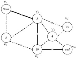
本发明公开了一种基于时空数据感知的旅游路线规划方法,本发明提出了衡量游客在旅游景点中进行旅行路线规划的关键性指标,包括旅游成本(景点间旅行耗时成本、空间成本和景点游览时间成本)、单位时间某景点的游客访问量、游览与旅行时间成本比等;本发明提出了一种原创性基于时空数据感知的旅游路线规划算法,该算法可大幅节省游客在景点间的旅行耗时,为游客享有更多景点游览时间和提高旅游景区收益提供了重要的参考价值和应用价值;本发明旅游路线规划算法的提出,为高峰期合理管理和控制景区的游客访问量提供了重要参考依据,同时为景点游客访问流量控制算法的设计提供合理性思路。
